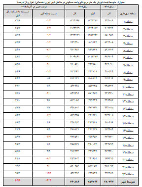
به گزارش آگاه: طبق اعلام بانکمرکزی، متوسط قیمت یک متر مربع بنای واحد مسکونی در استان «تهران» در آذرماه سالجاری ۷۴ میلیون و ۹۰۰ هزار تومان معامله شده است و نسبت به ماه گذشته ۲.۲ درصد روند کاهشی در پیش داشته است.
البته روند نزولی در آذر ماه امسال در ادامه روند نزولی در تیرماه سالجاری بوده که ادامه این روند موجب ثبات آرامش در بازار معاملات مسکن استان «تهران» شده است. طی ماههای اخیر براساس اجرای برنامهریزیهای وزارت راه و شهرسازی و دولتمردان در خصوص ساخت و عرضه مسکن در بازار است.
حجم معاملات مسکن در شهر تهران نسبت به ماه قبل معادل ۱.۲ درصد کاهش نشان میدهد و از مجموع ۲۲ منطقه شهر تهران، ۱۴ منطقه رشد قیمتی ماهانه منفی را تجربه نمودهاند. این وضعیت میتواند نشانگر بروز افتهای شدیدتر قیمت مسکن در ماههای آتی باشد.


منبع: مهر
نظر شما